Simple Interest (SI)

Simple Interest is calculated only on the principal amount throughout the entire period.

Simple Interest Formula

Simple Interest Formula

Where:

  • SI → Simple Interest
  • P → Principal on which interest is calculated
  • R → Rate of interest (per annum)
  • T → Time (in years)

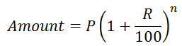
Amount Formula

Amount Formula

Advanced Simple Interest Formulae

When a sum becomes n times in t years

If a certain sum becomes n times in t years, then rate r is:

Rate Formula

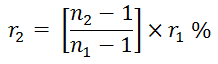
Comparison of Different Rates

If a sum of money at r₁% rate becomes n₁ times of itself in a certain time and becomes n₂ times of itself at r₂% rate in the same period of time, then:

Rate Comparison Formula

Compound Interest (CI)

Compound interest is interest calculated on the initial principal and also on the accumulated interest of previous periods of a deposit or loan.

Compound Interest Formulae

I. When interest is compounded annually

Annual Compounding Formula

II. When interest is compounded half-yearly

Half-yearly Compounding Formula

III. When interest is compounded quarterly

Quarterly Compounding Formula

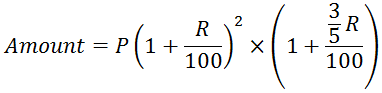
IV. When interest is compounded annually but time is fractional

When time is in fraction, say 2 3/5 years:

Fractional Time Formula

V. Present Worth Formula

Present worth of x due n years is given by:

Present Worth Formula

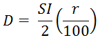
Important Formulae: Difference between CI and SI

If D is the difference between the CI and SI on a sum P at the rate of r%, then:

For Different Time Periods

1. When time is 2 years

2 Years Difference Formula

2. When time is 3 years

3 Years Difference Formula

Alternative Formula for 2 Years

If SI is the simple interest and CI is the compound interest on a certain sum P at the rate r% per annum for a time of 2 years, then the difference D between CI and SI is:

Alternative 2 Years Formula

Comparison: Simple Interest vs Compound Interest

Key Differences

Simple Interest

  • Interest calculated only on principal
  • Interest remains constant each year
  • Growth is linear
  • Formula: SI = (P × R × T) / 100
  • Used in: Short-term loans, simple deposits

Compound Interest

  • Interest calculated on principal + accumulated interest
  • Interest increases each year
  • Growth is exponential
  • Formula: A = P(1 + R/100)ⁿ
  • Used in: Bank deposits, investments, loans

Problem Solving Tips

Time Calculation Rules

  • For counting the time between two given dates, only one of the two dates is counted (either first or last). Usually, we exclude the date of start and include the date of return.
  • For converting the time in days into years, always divide by 365, whether it is a leap year or not.
  • The time must be taken in accordance with the interest rate percent. Thus, if the interest rate is per month then time must be taken in months.

Quick Calculation Tips

For Simple Interest

  • If rate and time are equal, SI is directly proportional to principal
  • If principal and time are equal, SI is directly proportional to rate
  • If principal and rate are equal, SI is directly proportional to time

For Compound Interest

  • Higher compounding frequency = Higher effective interest rate
  • For small rates and short time periods, CI ≈ SI
  • The difference between CI and SI increases with time and rate

Common Question Types

Type 1: Finding Principal, Rate, or Time

Example: If ₹1000 becomes ₹1200 in 2 years at simple interest, find the rate.

Solution: SI = 1200 - 1000 = ₹200

Using SI = (P × R × T)/100: 200 = (1000 × R × 2)/100

R = 10% per annum

Type 2: Difference between CI and SI

Example: Find the difference between CI and SI on ₹5000 for 2 years at 10% per annum.

Solution: Using D = P(R/100)² for 2 years

D = 5000 × (10/100)² = 5000 × 0.01 = ₹50

Type 3: Population/Depreciation Problems

Example: A city's population grows at 5% per annum. If current population is 100,000, find population after 3 years.

Solution: A = P(1 + R/100)ⁿ

A = 100,000(1 + 5/100)³ = 100,000(1.05)³ = 115,762